Introduction
Versiunea direcție importantă în diagnosticarea vibrații ale motoarelor tip turbină cu gaz de aviație și turbomașini este diagnostics prin modelare. Modelarea oferă o oportunitate de a lega prezența unor tipuri de defecte de prelucrare cu semne de prezența în semnalul de vibrații. Unul dintre astfel de defecte este fisurării arborii motoarelor de aviație și turbomașini care este admite smulgerea. Deci, cea mai importantă sarcină a sistemului de diagnosticare este de a detecta fisuri în timp și prognoza evoluția acesteia.
Appearance crăpăturii în rotor duce la scăderea rigidității locale. Valoarea pierderii rigidității depinde de caracteristicile geometrice ale fisurii. În cazul în care se aplică sarcinii statice, cum ar fi forța de greutate, fisura se deschide și se închide în timp ce rotorul se rotește. Ca urmare, rigiditatea arbore se modifică la fiecare ciclu. Crack în derivațiile sistem rotor la following modificări semnal de vibrație [1]:
·de 1x armonic al vitezei de rotație datorită creșteriiincrease în amplitudine de deformare statică cauzată de scăderea rigiditate.
·appearance de 2x componentă a vitezei de rotație datorită rigidității rotorului asimetric.
·appearance a componentei 3х a vitezei de rotație, datorită deschiderii ciclice și închiderea fisurilor.
Versiunea sarcina principală a modelului matematic este descrierea valorii și legea schimbării locale în rigiditate în
Versiunea loc where fisurii are loc luând în considerare cât mai mulți factori posibil.
Există mai multe abordări pentru a crack simula. In cel mai simplu caz fisura este simulat prin scăderea rigidității radiale a întregului ax [2,3,4]. În celelalte cazuri partea arbore, where crăpătură are loc, este replace d de un element fascicul echivalent. Coeficienții matricei de rigiditate a acestui element sunt calculate ținând cont de fisură și schimbare pe un ciclu. În lucrarea [5] calculul matricei de rigiditate a elementului grindă cu fisura se bazează pe utilizarea momentelor de inerție ale secțiunii fasciculului considerând fisura. În lucrarea [6] matricea de rigiditate a acestui element este calculat pe baza ecuațiilor mecanicii de distrugere corpurilor solide. Crack pot fi simulate de legătură elastică care leagă secțiuni de frontieră ale arborelui în locul locației sale și oferind momentul fisura rigiditate [7,8].
Modificați rigidității crăpătură în funcție de deschidere și de închidere, în timp ce rotorul se rotește poate fi descris matematic în moduri diferite. In cel mai simplu caz, se poate presupune că fisura are doar două poziții: în întregime opened sau complet închise, iar funcția etapă poate fi aplicată pentru a descrie schimbarea sa rigiditatea matematic [4].
Work [3] descrie modelele cele mai răspândite de schimbare rigiditate. Una dintre ele este ecuația Gasch. Schimbarea
în rigiditate are loc în funcție de unghiul dintre faza de forță statică și faza fisurilor și descrise de 17 armonice ale seriei Fourier. Același articol dă Maes&Davies ecuatie where rigiditate se modifică în funcție de unghiul conform legii cosinus. În modelul Yang rigiditate modificări prin legea cosinus în grad de adâncime fisurii relativă.
Acest articol dezvoltă modelul fisurii pe baza \\ abordărinexisted și prezintă, de asemenea, metodologia care oferă posibilitatea de a semnelor de evidențiere utilizate pentru a detecta starea sa pentru rotorul exact.
Versiunea algoritm este inclus în programul software Dynamics R4 [9], care reprezintă dedicat
system privind calculul comportamentului dinamic al sistemelor complexe de rotor.
modelulCrack
Within concepția simulare acceptată, fisură în modelul arborelui este înlocuit cu o legătură elastică împărțirea arborelui în două secțiuni și care descriu prin matricea de rigiditate cu variabilă coeficienți. Dacănu existănici o fisură, starea de compatibilitate sușă între secțiuni ale pieselor arbore se realizează, astfel încât toate deplasările reciproce sunt interzise. Introducem rotitor sistemul de coordonate ηOε situată în zona fisurii, Figura 1. sale de origine coincide cu originea sistemului fix de coordonate XYZ. Arborele execută două mișcări de rotație - corespunzătoare și precesie în jurul axei Z. Când descrie fisura luăm în considerare doar rotația în jurul axelor η și gruparea e. Deplasări la alte grade de libertate suntneglijate.
sectiunea
Figure 1. Crack
Flexibility matrice a legăturii care simulează fisură în sistemul de rotație de coordonate poate fi scris ca following:
wher &101;# q j=a- diferență în faze,- j unghiul de rotație a arborelui,- a unghiul de precesie;- gee (q) și gHH (q )variabile- coefficients de flexibilitate momentul.
Flexibility depinde de unghiul de Qfiindca în timp ce arborele se rotește, fisura se deschide și se închide. matrice Rigiditatea se obține prin inversarea[GR(q)]matrix, și coeficienții de zero flexibilitate la principalul avantaj diagonală la obținerea coeficienților de rigiditate a merge la infinit. Limităm valoarea acestor coeficienți de rigiditate prin 1е10 Nm; această presupunerenu afectează în mod semnificativ rezultatul, adică obținem/
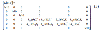
matriceStiffness este transformat în fix sistem de coordonate folosind următoarea ecuație:
wher &101;#[T]matricea de rotație (4), wher-&101;#C1=\\ subofiteri (j)1sin (=Sj)
multiplicarea matriciaz în corespondență cu ecuația (3) obținem:.
Efectuam unor transformări care dau posibilitatea de a trece la descrierea mai simplă a fisurii \\ matriceanstiffness și algoritmul coeficienților săi oBTINEREA. În corespondență cu modelul Maes, aceasta may se presupune că flexibilitatea radială a fasciculului circulară cu modificări fisurii de la o valoare minimă la maximă prin lege cosinus.
wher 101; &g#0flexibilitate a fasciculului fără fisuri (valoarea minimă),GC-flexibilitate a fasciculului cu deschis-crack (valoarea maximă).
Ne înlocui fisura printr-o balama cu rigiditate momentul k initm h . Fascicolul condițiile la limită ar trebui să furnizeze acesteia \\ definabilitynstatical așa cum se arată în figura 2.
Figure 2 . Înlocuirea fisurii prin balama
wher 101; E&#Young modulul,in-diametrală momentul de inerție al secțiunii arborelui,k-init MH \\ coeficientn- a momentului rigiditate unei legături echivalente care corespunde fisurii deschise complet.

Denumirea funcției: Product manager
Departament: Market Department
Telefonul companiei: +86 021-59150215
E-mail: Contacteaza-ne
Telefon mobil: +86 13817160919
website: lanzhusuperalloy.romb2b.com
Adresa: No. 2800 Caoxin Road, Xuhang Town, Jiading District, Shanghai